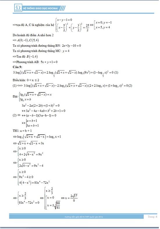
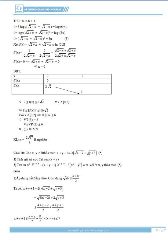
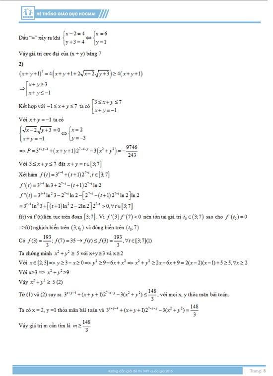
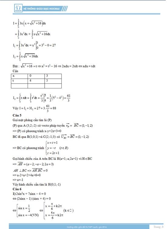
Đáp án đề thi môn toán tốt nghiệp THPT Quốc gia năm 2016 (Gợi ý tham khảo)

Đáp án đề thi môn toán 2016, kỳ thi THPT Quốc gia năm 2016, đáp án môn toán, đáp án đề thi môn toán, đáp án tốt nghiệp môn toánĐáp án đề thi môn toán 2016, kỳ thi THPT Quốc gia năm 2016, đáp án môn toán, đáp án đề thi môn toán, đáp án tốt nghiệp môn toánĐáp án đề thi môn toán 2016, kỳ thi THPT Quốc gia năm 2016, đáp án môn toán, đáp án đề thi môn toán, đáp án tốt nghiệp môn toánĐáp án đề thi môn toán 2016, kỳ thi THPT Quốc gia năm 2016, đáp án môn toán, đáp án đề thi môn toán, đáp án tốt nghiệp môn toánĐáp án đề thi môn toán 2016, kỳ thi THPT Quốc gia năm 2016, đáp án môn toán, đáp án đề thi môn toán, đáp án tốt nghiệp môn toánĐáp án đề thi môn toán 2016, kỳ thi THPT Quốc gia năm 2016, đáp án môn toán, đáp án đề thi môn toán, đáp án tốt nghiệp môn toánĐáp án đề thi môn toán 2016, kỳ thi THPT Quốc gia năm 2016, đáp án môn toán, đáp án đề thi môn toán, đáp án tốt nghiệp môn toán

Đáp án đề thi môn toán 2016, kỳ thi THPT Quốc gia năm 2016, đáp án môn toán, đáp án đề thi môn toán, đáp án tốt nghiệp môn toán
Lời giải đề thi môn toán THPT Quốc gia 2016 nguồn trung tâm Hocmai.vn

Theo Vietnamnet