Toán học là một bộ môn khoa học với những con số, kết quả vì thế chỉ có đúng hoặc sai. Ấy thế mà xuất hiện không ít bài toán tưởng đơn giản mà như "hack não" bởi sau khi nghe đáp án vẫn cảm thấy "không thông".
Như mới đây, dân mạng lan truyền một bài Toán với kết quả của học sinh và giáo viên đều đưa ra bằng 2. Thế nhưng bài làm của học sinh lại không được công nhận.
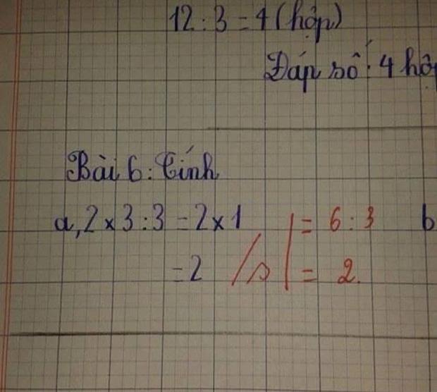
Cụ thể, bài toán với phép tính: "2x3:3=?". Lúc này, học sinh có cách giải như sau: "2x3:3=2x1= 2".
Đáp án rõ ràng "chuẩn không cần chỉnh" nhưng giáo viên vẫn thẳng tay gạch sai. Lời giải được giáo viên đưa ra thế này: "2x3:3 =6:3=2".

Bài toán gây tranh cãi.
Cô còn giải thích thêm, học sinh tuy làm ra kết quả đúng nhưng cách làm lại sai. Theo Toán học, một phép tính khi chỉ có phép tính nhân và chia cần thực hiện quy tắc tính từ trái qua phải.
Còn ở đây, học sinh lại thực hiện phép chia trước, không đi theo thứ tự từ trái qua phải nên không thể chấm đúng.
Nghe lời giải đáp của giáo viên, nhiều người mới vỡ lẽ ra quy tắc toán học cơ bản này. Số khác lại cho rằng, đây vốn dĩ là kiến thức nền tảng ngay từ khi làm quen với Toán học, việc tranh cãi hay nhầm lẫn khó có thể chấp nhận.
Một số bình luận gây chú ý từ dân mạng:
- Ôi trời các ông các bà học hành kiểu gì vậy, nhân chia trước cộng trừ sau, từ trái qua phải cứ thế mà làm.
- Nói thì ngại chứ lâu không đụng đến toán cũng tính như cháu bé, haha.
- Tôi nghĩ chỉ có những ai học dốt mới tranh cãi về bài toán này.
- Thực hiện các phép nhân và phép chia theo thứ tự từ trái qua phải. Mệt!
Ying Ying
Theo Vietnamnet
