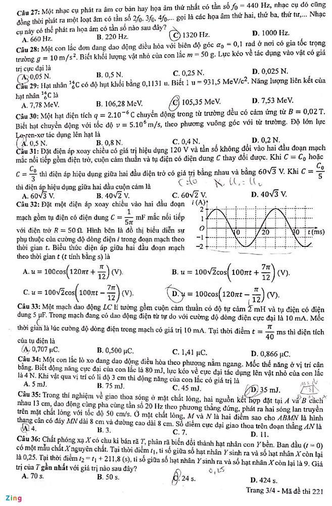
Gợi ý đáp án môn Vật lý tốt nghiệp THPT 2022

Đáp án môn Vật lý




Gợi ý giải đề thi môn Hóa học tốt nghiệp THPT 2022
Đề thi Hóa học kỳ thi tốt nghiệp THPT gồm 40 câu hỏi trắc nghiệm. Thí sinh làm bài môn này trong 50 phút.

Đáp án môn Hóa học




Đề thi môn Hóa học. Theo Zing
Gợi ý đáp án môn Sinh học






MT (t/h)
Theo Vietnamnet
